By David Blitenthall, Development Engineer, SAISC
Last year the SAISC took its “Design of light industrial buildings” course to a number of cities and towns throughout South Africa. One of the things that became apparent to me while lecturing on the course was that a number of design engineers do not fully appreciate or understand the requirements of clause 13.3.2 of the current South African hot-rolled steel design code. Consequently, they are in the dark with regards to the design of asymmetric and singly symmetric sections. This article, dealing with the basics of concentric elastic buckling of columns, is the first in a series to address the design of these types of sections.
My guess is that most structural engineers (myself included) grew up on a diet of elastic flexural buckling. Euler’s celebrated formula was drummed into our heads from early on in our academic careers. At an undergraduate level, torsional and flexural-torsional buckling were topics that were possibly not covered in much depth or were topics that were way too strenuous to contemplate with heavy eyelids. When the first limit states design code for structural steelwork (SABS0162-1:1993) was introduced in South Africa, it lacked guidance on how to design singly symmetric or asymmetric compression members. To address this state of affairs, the SAISC published a technical note in Steel Construction (November/December 1993) which contained a proposed methodology that has now essentially been incorporated into the current design code as clause 13.2.2. Those engineers who are familiar with the South African limit states design codefor cold-formed steelwork would have recognised the singly symmetric elastic buckling equations since they are similar to those given in SANS10162-2:1993. Other than nomenclature, the main difference is that the cold-formed code implicitly considers the section to be symmetrical about the x axis (as opposed to the y-axis in 10162-1). The cubic equation for elastic buckling of asymmetric sections was, however, unfamiliar territory for many engineers.
Understanding the nature of elastic buckling of columns, be it flexural, torsional or flexural-torsional, can be enhanced by unpacking the equation given in clause 13.3.2 c) viz:
Equation 1.
The derivation of this equation can be found in many classic mechanics textbook. So let’s not get into that level of detail here except to point out that it is generally expressed in terms of elastic buckling loads and not stresses.
The solution to this equation gives the elastic buckling stress, fe, of a column. The terms fex, fey and fez refer to the elastic buckling stress of the column about it’s strong axis, about it’s weak axis and the elastic torsional buckling stress respectively. The polar moment of inertia of the centroid about the shear centre is denoted by ro. The terms xo and yo are defined as the principal coordinates of the shear centre with respect to the centroid of the cross-section. To clarify what this means, consider diagram 1 (shown left) of a general open crosssection. The axes labelled X and Y are the principal centroidal axes of the section, point C identifies the location of the centroid and point O the shear centre. xo and yo are the dimensions as shown.
It is a well know fact that if the cross-section of a column has two axes of symmetry, then the shear centre coincides with the centroid of the cross-section. In this case xo = yo = 0 mm. Substituting these values into equation 1,gives the following:
Equation 2.
The three solutions to this equation are obviously fe = fex or fey or fez. The column will therefore buckle at the lowest of these stresses and in a corresponding mode viz. buckling either occurs by flexure about the strong axis, flexure about the weak axis or by torsion. It is also important to note that these three modes are independent in this case.
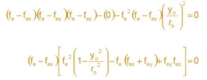
For any section having only one axis of symmetry, the shear centre will be on that axis but generally not at the centroid. In the case where the y axis is the axis of symmetry (a T-section for example), xo = 0 mm. Substituting this into equation (1), give the following:
Equation 3.
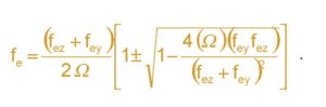
Substituting Ω = 1 – (yo / ro)2 and solving the term in square parenthesis using the quadratic formula, the solutions to this equation are fe = fex and
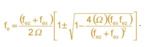
Such a column will therefore buckle at the lowest of the three stresses, either in a flexural mode about the x-axis at fex or in a torsional-flexural mode at the lowest root given by the quadratic equation – this root being lower than either fey or fez. In this case, flexural buckling about the x-x axis is independent while flexural buckling about the y-y axis and torsional buckling are coupled. In the case where the x axis is the axis of symmetry (a channel section for example), yo = 0mm and the solution to equation (1) can be found by interchanging the y and x terms such that fe = fey and
For an asymmetric section, xo Ω0 and yo Ω0 and the solution of fe requires finding the lowest root of equation (1). The buckling modes in this instance are interdependent and the lowest buckling mode is always less than either fex, fey or fez.
The next article on this subject will take a look at how this basic elastic buckling
theory is applied in SANS10162-1.







